

【現在位置】最新六法〉〉法規目錄
【法規名稱】。簡讀版
下水道工程設施標準
【發布日期】114.11.04【發布機關】內政部
【法規沿革】
1‧中華民國九十二年二月二十一日內政部臺內營字第0920084950號令訂定發布全文58條;並自發布日施行
2‧中華民國九十四年八月三十一日內政部台內營字第0940085566號令修正發布第4、8條條文
3‧中華民國九十八年十一月二十七日內政部台內營字第0980811021號令修正發布第二章第一節、第三章第一節節名及第8、29條條文
4‧中華民國一百十四年十一月四日內政部台內國字第1140814395號令修正發布第2、4、8、10~16、20、22~25、29、54、56條條文
【章節索引】
第一章 總則 §1
第二章 雨水下水道工程設施
》第一節 雨水下水道管渠及其附屬設施 §3
》第二節 雨水抽水站設施 §16
第三章 污水下水道工程設施
》第一節 污水下水道管渠及其附屬設施 §26
》第二節 污水抽水站設施 §33
》第三節 污水處理設施 §39
》第四節 污泥處理設施 §48
第四章 儀表控制設備 §54
第五章 附則 §58
【法規內容】
第一章 總 則
第1條
﹝1﹞本標準依下水道法第十條規定訂定之。
第2條
﹝1﹞本標準用詞,定義如下:
一、下水道工程設施:管渠、抽水站、污水處理廠及其相關設施。
二、計畫下水量:決定下水道工程設施容量所採用之下水量。
三、計畫逕流量:決定雨水下水道工程設施容量所採用之雨水量。
四、最大時污水量:最大日污水量發生日之尖峰一小時所產生之污水量換算為二十四小時數值之污水量。
五、倒虹吸管:橫越河川、運河、鐵路及地下道等障礙物之底部凹形壓力管渠。
六、人孔:為銜接、檢查或清理管渠,使人能出入管渠之設施。
七、雨水溢流井:在合流制下水道中,為使降雨時超負荷雨水溢流之設施。
八、滯洪池:具有適當容量可調節降雨時尖峰流量之蓄水空間。
九、逕流係數:逕流量與降雨量之比。
十、雨水井:收集雨水並導入雨水管渠之設施。
十一、連接管:污水井或雨水井與下水道管渠或設施連接之管。
十二、滲水量:由埋設於地下之管渠接頭裂隙或人孔等處滲入管內之水量。
十三、排放口:放流水進入承受水體之處所。
十四、外水位:護岸或堤防外側臨水面之水位。
十五、繞流設施:設於水路、水池之一旁,當常用設備停用時仍可使用之繞水路。
十六、表面積負荷率:單位時間進入單位反應器面積內之流量或質量。
十七、停留時間(Detention Time,縮寫為 DT ):水池之有效容量除以單位時間流量所得之商,其計算式如下:
▼
式中:V 為水池體積(立方公尺);Q 為流量(立方公尺/小時)。
十八、總揚程:抽水機之淨揚程、損失水頭與流速水頭之總和。
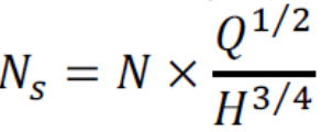
十九、比速:表示抽水機形式及特性之指數。為與抽水機幾何相似之一段翼輪能壓送每分鐘一立方公尺之水升高一公尺時所需之每分鐘轉速數,其計算式如下:
▼
式中:N 為抽水機之規定每分鐘轉速;Q 為抽水機之規定單口抽水量(立方公尺/分);H 為抽水機之規定單段總揚程(公尺)。
二十、吸入淨揚程:吸入水面與抽水機葉輪基準面之垂直距離。
二十一、孔蝕:抽水機因轉速過大或吸水高度太高,導致機內最低壓力低於其水溫應有之飽和蒸氣壓,致水蒸氣產生氣泡,如流入壓力較高處;會因迅速破裂而發生噪音和振動,若長時間持續,會侵蝕葉片等材料之現象。
二十二、水錘:在壓力水路中,因流量急劇變化而產生管內壓力驟增或驟降之現象。
二十三、計畫最大日污水量:在計畫年次中一年內發生最大污水量之日所產生之一日污水量。
二十四、生化需氧量(Biochemical Oxygen Demand,縮寫為 BOD):在攝氏二十度及五日之時間下,微生物進行生化分解有機物質時所消耗之氧量。
二十五、懸浮固體物(Suspended Solids,縮寫為 SS ):懸浮於污水或其表面之固體物。
二十六、污水井:為收集污水並導入污水管渠之設施。
二十七、稀釋率:指廢(污)水自海放管排入海洋後,上升達平衡狀態時,廢(污)水水柱中心與周遭海水混合,依照中央環境保護主管機關指定方法計算所得之稀釋倍數。
二十八、初級處理:利用物理方法分離、去除水中大部分懸浮固體、油脂及少部分之膠體、溶解固體與生化需氧量之處理過程;通常為廢(污)水處理之最先處理過程。
二十九、二級處理:經初級處理後之廢(污)水之後續處理,以去除溶解性、膠狀性之有機物為目的之處理過程。
三十、高級處理:利用獨特生物處理過程,獲得二級處理程度以上或相當三級處理水質之處理過程。
三十一、三級處理:利用物理、化學或生物方法將經二級處理後之廢(污)水中之營養物質、低濃度懸浮固體等去除之處理過程。
三十二、含水率:污泥中所含水分。
三十三、污水調節池:設於污水處理設施前,用以調節污水水量及水質之設施。
三十四、活性污泥法:為一種利用活性污泥混合液中微生物代謝作用,將污水中有機物安定化後藉著沉澱方式,分離為上澄液與沉澱活性污泥之處理方法。
三十五、標準活性污泥法:指污水流入初沉池後進入反應槽內,經由混合、攪拌和空氣曝氣後,再經沉澱分離之活性污泥法。
三十六、純氧活性污泥法:指曝氣部分採用純氧之活性污泥法。
三十七、延長曝氣法:增加污水與活性污泥接觸時間,使污水之生化需氧量及剩餘活性污泥減少之活性污泥法。
三十八、氧化渠法:以一種具有環狀無端點之曝氣渠道作為反應槽之活性污泥法。
三十九、階梯曝氣法:為使曝氣槽內混合液之氧利用量均勻化,將狹長之氣槽分成數處分別流入污水之活性污泥法。
四十、超深層曝氣法:以深約五十公尺至一百公尺之U型循環管槽注入空氣,使污水、污泥混合液與空氣增加接觸時間之活性污泥法。
四十一、回分式活性污泥法:在單一水槽內同時具有活性污泥反應槽與沉澱池功能之活性污泥法。
四十二、接觸曝氣法:藉浸漬在反應槽內接觸材表面附著之微生物代謝活動達到污水處理之方法。
四十三、旋轉生物盤接觸法:圓盤之一部分浸入水中,緩慢旋轉,藉圓盤上附著之微生物代謝活動達到污水處理之方法。
四十四、整流壁:使水流速均勻、流向一致之設施。
四十五、溢流堰:一結構物或設備能使水或廢水溢流而過之設施。
四十六、溢流負荷:單位長度之溢流堰每日所溢流之水量。
四十七、食微比(kg BOD/kg MLSS·day):每日進入反應槽內之食物量與槽內存在之微生物量之比值。
四十八、混合液懸浮固體(Mixed Liquor Suspended Solids,縮寫為 MLSS ):反應槽內混合液中懸浮固體含量。
四十九、滴濾池法:初沉池流出之水,以間歇連續式散水於堆置碎石等濾材之固定濾池上,藉附著於濾材表面生物膜之代謝活動達到污水處理之方法。
五十、滴濾池水力負荷:滴濾池每日每平方公尺濾床面積所噴灑之污水量。
五十一、濾料:在濾池內用以除去水中微粒之介質。
五十二、好氧濾床法:初沉池流出水流經濾料間隙之際,藉附著於濾料表面好氧微生物之分解有機物及捕捉懸浮固體物達到污水處理之方法。
五十三、餘氯:氯與水或污水接觸一段時間後在水中以自由或結合氯之形態存在者。
五十四、中和設備:使酸性或鹼性之水變為中性之設備。
五十五、污泥滯留時間(Sludge Retention Time,縮寫為 SRT):存在於反應槽、終沉池及迴流污泥系統之活性污泥停留時間。
五十六、生物反應水理滯留時間(Hydraulic Retention Time,縮寫為 HRT):污水在生物反應槽內之停留時間。
五十七、硝化:由微生物之作用,將氮化合物分解產生之氨,氧化為亞硝酸鹽、硝酸鹽之現象。
五十八、優養化:過量之營養物質進入水體,造成藻類大量之繁殖、死亡,並因其腐敗分解而大量耗氧,導致水域生態變化之現象。
五十九、計畫污泥量:以計畫最大日污水量為準,由袪除污水生化需氧量之污泥轉化率,懸浮物質之去除率及污泥之含水率推算之污泥量。
六十、污泥濃縮:藉重力、浮除、離心力、過濾或其他方法降低污泥之含水率之過程。
六十一、污泥消化:利用厭氧性或好氧性微生物將污泥中之生物質或有機物氣化、液化、安定化及減量化之過程;依微生物之特性分為厭氧消化及好氧消化二種。
六十二、混合液揮發性懸浮固體(Mixed Liquor Volatile Suspended Solids,縮寫為 MLVSS):反應槽內混合液懸浮固體中揮發性固體含量。
六十三、生污泥:為污水經初級處理後產生尚未經處理之初步沉澱池污泥,或為二級處理所產生尚未處理之初步沉澱池污泥及剩餘污泥之混合污泥。
六十四、厭氧消化:在缺乏自由氧下經由微生物分解有機物之過程。
六十五、污泥迴流率:為維持活性污泥反應槽中之污泥濃度及其活性,從終沉池之沉澱污泥中迴流適量污泥至反應槽中與進流污水量之比率。
六十六、生污水:未經處理之家庭污水、事業廢水及其他廢污水。
六十七、管徑:指圓形管渠之內徑。
∩
--114年11月4日修正前條文--
﹝1﹞本標準用詞定義如下:
一、下水道工程設施:管渠、抽水站、污水處理廠及其相關設施。
二、計畫下水量:決定下水道工程設施容量所採用之下水量。
三、計畫逕流量:決定雨水下水道工程設施容量所採用之雨水量。
四、最大時污水量:最大日污水量發生日之尖峰一小時所產生之污水量換算為二十四小時數值之污水量。
五、倒虹吸管:橫越河川、運河、鐵路及地下道等障礙物之底部凹形壓力管渠。
六、人孔:為銜接、檢查或清理管渠,使人能出入管渠之設施。
七、雨水溢流井:在合流制下水道中,為使降雨時超負荷雨水溢流之設施。
八、雨水調節池:具有適當容量可調節降雨時尖峰流量之貯留池。
九、逕流係數:逕流量與降雨量之比。
一○、雨水井:收集雨水並導入雨水管渠之設施。
一一、連接管:污水井或雨水井與下水道管渠或設施連接之管。
一二、滲水量:由埋設於地下之管渠接頭裂隙或人孔等處滲入管內之水量。
一三、排放口:放流水進入承受水體之處所。
一四、外水位:護岸或堤防外側臨水面之水位。
一五、繞流設施:設於水路、水池之一旁,當常用設備停用時仍可使用之繞水路。
一六、表面積負荷率:單位時間進入單位反應器面積內之流量或質量。
一七、停留時間(Detention Time,縮寫為DT):水池之有效容量除以單位時間流量所得之商,其計算式如下:
▼
式中:V為水池體積(立方公尺);
Q為流量(立方公尺/小時)。
一八、總揚程:抽水機之淨揚程、損失水頭與流速水頭之總和。
一九、比速:表示抽水機形式及特性之指數。為與抽水機幾何相似之一段翼輪能壓送每分鐘一立方公尺之水升高一公尺時所需之每分鐘轉速數,其計算式如下:
▼
式中:N為抽水機之規定每分鐘轉速;Q為抽水機之規定單口抽水量(立方公尺/分);H為抽水機之規定單段總揚程(公尺)。
二○、吸入淨揚程:吸入水面與抽水機葉輪基準面之垂直距離。
二一、孔蝕:抽水機因轉速過大或吸水高度太高,導致機內最低壓力低於其水溫應有之飽和蒸氣壓,致水蒸氣產生氣泡,如流入壓力較高處;會因迅速破裂而發生噪音和振動,若長時間持續,會侵蝕葉片等材料之現象。
二二、水錘:在壓力水路中,因流量急劇變化而產生管內壓力驟增或驟降之現象。
二三、計畫最大日污水量:在計畫年次中一年內發生最大污水量之日所產生之一日污水量。
二四、生化需氧量(Biochemical Oxygen Demand,縮寫為BOD):在攝氏二十度及五日之時間下,微生物進行生化分解有機物質時所消耗之氧量。
二五、懸浮固體物(Suspend Solid,縮寫為SS):懸浮於污水或其表面之固體物。
二六、污水井:為收集污水並導入污水管渠之設施。
二七、稀釋率:指廢(污)水自海放管排入海洋後,上升達平衡狀態時,廢(污)水水柱中心與周遭海水混合,依照中央環境保護主管機關指定方法計算所得之稀釋倍數。
二八、初級處理:利用物理方法分離、去除水中大部分懸浮固體、油脂及少部分之膠體、溶解固體與生化需氧量之處理過程;通常為廢(污)水處理之最先處理過程。
二九、二級處理:經初級處理後之廢(污)水之後續處理,以去除溶解性、膠狀性之有機物為目的之處理過程。
三○、高級處理:利用獨特生物處理過程,獲得二級處理程度以上或相當三級處理水質之處理過程。
三一、三級處理:利用物理、化學或生物方法將經二級處理後之廢(污)水中之營養物質、低濃度懸浮固體等去除之處理過程。
三二、含水率:污泥中所含水分。
三三、污水調節池:設於污水處理設施前,用以調節污水水量及水質之設施。
三四、活性污泥法:為一種利用活性污泥混合液中微生物代謝作用,將污水中有機物安定化後藉著沉澱方式,分離為上澄液與沉澱活性污泥之處理方法。
三五、標準活性污泥法:指污水流入初沉池後進入反應槽內,經由混合、攪拌和空氣曝氣後,再經沉澱分離之活性污泥法。
三六、純氧活性污泥法:指曝氣部分採用純氧之活性污泥法。
三七、延長曝氣法:增加污水與活性污泥接觸時間,使污水之生化需氧量及剩餘活性污泥減少之活性污泥法。
三八、氧化渠法:以一種具有環狀無端點之曝氣渠道作為反應槽之活性污泥法。
三九、階梯曝氣法:為使曝氣槽內混合液之氧利用量均勻化,將狹長之氣槽分成數處分別流入污水之活性污泥法。
四○、超深層曝氣法:以深約五十公尺至一百公尺之U型循環管槽注入空氣,使污水、污泥混合液與空氣增加接觸時間之活性污泥法。
四一、回分式活性污泥法:在單一水槽內同時具有活性污泥反應槽與沉澱池功能之活性污泥法。
四二、接觸曝氣法:藉浸漬在反應槽內接觸材表面附著之微生物代謝活動達到污水處理之方法。
四三、旋轉生物盤接觸法:圓盤之一部分浸入水中,緩慢旋轉,藉圓盤上附著之微生物代謝活動達到污水處理之方法。
四四、整流壁:使水流速均勻、流向一致之設施。
四五、溢流堰:一結構物或設備能使水或廢水溢流而過之設施。
四六、溢流負荷:單位長度之溢流堰每日所溢流之水量。
四七、食微比(kgBOD/kgMLSS.day):每日進入反應槽內之食物量與槽內存在之微生物量之比值。
四八、混合液懸浮固體物(MixedLiquid Suspended Solid,縮寫為MLSS):反應槽內混合液中懸浮固體含量。
四九、滴濾池法:初沉池流出之水,以間歇連續式散水於堆置碎石等濾材之固定濾池上,藉附著於濾材表面生物膜之代謝活動達到污水處理之方法。
五○、滴濾池水力負荷:滴濾池每日每平方公尺濾床面積所噴灑之污水量。
五一、濾料:在濾池內用以除去水中微粒之介質。
五二、好氧濾床法:初沉池流出水流經濾料間隙之際,藉附著於濾料表面好氧微生物之分解有機物及捕捉懸浮固體物達到污水處理之方法。
五三、餘氯:氯與水或污水接觸一段時間後在水中以自由或結合氯之形態存在者。
五四、中和設備:使酸性或鹹性之水變為中性之設備。
五五、污泥滯留時間(Sludge Retention Time,縮寫為SRT):存在於反應槽、終沉池及迴流污泥系統之活性污泥停留時間。
五六、生物反應水理滯留時間(Hydraulic Retention Time,縮寫為HRT):污水在生物反應槽內之停留時間。
五七、硝化:由微生物之作用,將氮化合物分解產生之氨,氧化為亞硝酸鹽、硝酸鹽之現象。
五八、優養化:過量之營養物質進入水體,造成藻類大量之繁殖、死亡,並因其腐敗分解而大量耗氧,導致水域生態變化之現象。
五九、計畫污泥量:以計畫最大日污水量為準,由袪除污水生化需氧量之污泥轉化率,懸浮物質之去除率及污泥之含水率推算之污泥量。
六○、污泥濃縮:藉重力、浮除、離心力、過濾或其他方法降低污泥之含水率之過程。
六一、污泥消化:利用厭氧性或好氧性微生物將污泥中之生物質或有機物氣化、液化、安定化及減量化之過程;依微生物之特性分為厭氧消化及好氧消化二種。
六二、混合液揮發性懸浮固體(Mixed Liquid Volatile Suspended Sol-id,縮寫為MLVSS):反應槽內混合液懸浮固體中揮發性固體含量。
六三、生污泥:為污水經初級處理後產生尚未經處理之初步沉澱池污泥,或為二級處理所產生尚未處理之初步沉澱池污泥及剩餘污泥之混合污泥。
六四、厭氧消化:在缺乏自由氧下經由微生物分解有機物之過程。
六五、污泥迴流率:為維持活性污泥反應槽中之污泥濃度及其活性,從終沉池之沉澱污泥中迴流適量污泥至反應槽中與進流污水量之比率。
六六、生污水:未經處理之家庭污水、事業廢水及其他廢污水。
∪
回索引〉〉第二章 雨水下水道工程設施 第一節 雨水下水道管渠及其附屬設施(原:雨水管渠及其附屬設施)
第3條
﹝1﹞雨水下水道之計畫下水量、水力計算及流速規定如下:
一、計畫下水量規定依下列規定。但必要時,得依排水區域之實際情況酌以增減:
(一)以計畫逕流量設計雨水管渠。
(二)以計畫逕流量及計畫最大時污水量之和,設計合流管渠。
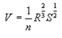
二、管渠之水力計算採曼寧(Manning)公式▼
(
)或庫特 (Kutter)▼
,式中:V為流速(公尺/秒);n為粗糙係數;R為水力半徑(公尺);S為水力坡度(分數或小數)。
三、雨水管渠或合流管渠達計畫下水量時,最小流速為每秒零點八公尺,最大流速為每秒三公尺。但其管渠材質或結構特殊者,不在此限。
第4條
﹝1﹞管渠,包括符合國家標準之瓷化黏土管、鋼管、鋼筋混凝土管、延性鑄鐵管、強化玻璃纖維管、硬質塑膠管、鋼筋混凝土涵渠或其他可適用管渠。
﹝2﹞管渠之斷面形狀應採用圓形、矩形、馬蹄形或卵形。
﹝3﹞管渠之斷面形狀採圓形或矩形者,其最小斷面應符合下列規定:
一、圓形:雨水管渠及合流管渠之最小管徑為八百公厘。
二、矩形:箱涵之淨寬、淨高不得小於一千二百公厘。
﹝4﹞因現地環境或地形特殊,經檢具技師簽證之水理分析計算證明,送主管機關審認無礙排水能力者,管徑及寬高不受前項最小斷面規定之限制。
--114年11月4日修正前條文--
﹝1﹞管渠種類及斷面規定如下:
一、採用瓷化黏土管、鋼管、鋼筋混凝土管、延性鑄鐵管、強化玻璃纖維管、硬質塑膠管、預鑄或現場灌注鋼筋混凝土涵渠、潛盾管渠或其他可適用之管材,材質並應符合國家標準。
二、斷面形狀應採用圓形、矩形、馬蹄形或卵形。
三、最小斷面:
(一)雨水管渠及合流管渠之最小管徑為五百公厘。
(二)U型溝寬度不得小於三十公分,深度(含出水高,不含溝蓋厚度)為四十公分以上,一公尺以下。
(三)箱涵之寬、高不得小於一點二公尺。
第5條
﹝1﹞管渠之埋設位置、覆土深度、基礎及保護措施規定如下:
一、埋設於公共道路內或跨越鐵路、公路、河川、排水路、自來水管、瓦斯管、地下電纜及文化古蹟等公共設施者,其埋設位置及深度應先與各有關管理單位會勘協調。
二、最小覆土深度:
(一)圓形管應在七十五公分以上,鋼筋混凝土管應在五十公分以上。因地形限制,覆土深度不足時,應依第三款規定予以補強。
(二)箱涵無最小覆土深度限制。
三、基礎及保護措施:
(一)管渠依其材質種類、外壓荷重、土質狀況等施以砂、碎石級配、砂礫、枕墊或打樁等基礎。
(二)管渠之土壓或其他荷重超過其外壓強度時,應以混凝土或鋼筋混凝土加強保護。
(三)管渠內面有磨損或腐蝕之虞者,應設適當之耐磨蝕裡襯或防蝕處理。
第6條
﹝1﹞管渠接合及接頭材料規定如下:
一、管渠之接合:
(一)管渠之管徑變化或二支以上管渠匯合時,以設計水位或管渠頂部內緣齊平相交接合。
(二)地面坡度過大時,應以最大流速限制其埋設坡度,並於適當位置設消能設施。
(三)二支管渠匯合時,其中心交角之角度應在六十度以內;以曲線匯合時,其曲率半徑應大於管徑之五倍。但情形特殊者,不在此限。矩形溝渠以寬度作為管徑。
(四)梯形明溝及矩形溝渠寬度有變化時,應有漸變段連接,漸變段側牆線與原渠道側牆線之夾角進口處應小於二十五度,出口處應小於十二點五度。
二、管渠接頭材料應符合下列規定:
(一)可配合各種管渠之型式及尺寸。
(二)具水密性、防蝕性且不易變質。
(三)具充分彈性,以防止不均勻沉陷後發生斷裂。
(四)浸於水中亦易施工,完工後可立刻通水。
第7條
﹝1﹞倒虹吸管設置規定如下:
一、下水道管渠跨越鐵路、公路、自來水管、瓦斯管、油管、河川、堤防、電纜及其他難以移設之構造物時,得設置倒虹吸管,並增設保護設施。
二、倒虹吸管設置二條以上平行管時,埋設位置應避免在橋臺、橋腳之正下方,設置地點地盤強度不足時,應予以基礎補強。
三、管內流速應大於其上游管渠內之流速百分之二十至百分之三十且最小流速應大於每秒零點九公尺。
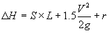
四、倒虹吸管水頭損失之計算公式如下:▼
式中:△H為倒虹吸管之損失水頭(公尺);S為倒虹吸管內水流之水力坡降(分數或小數);L為倒虹吸管之長度(公尺);V為倒虹吸管內之流速(公尺/秒);g為重力加速度(九點八公尺/平方秒);γ為常數(通常取三-五公分)。
五、倒虹吸管穿越河川,其最小深度應在計畫河床或最深河床下二公尺以上。
六、倒虹吸管進出水井應設閘門或擋水板。
七、進出口形狀為喇叭形,其有影響水流、泥砂淤積等情況者,應在進出口處設排水、沉砂等設施。
八、倒虹吸管之最小管徑應在二百五十公厘以上。
九、穿越河流時應於護岸及明顯處設置標誌,明確註明管渠之位置、大小及埋設標高,穿越河床時應在上游設置適當之溢流設施。
第8條
﹝1﹞人孔設置規定如下:
一、下水道管渠在管渠起始點、管渠方向、坡度、管徑變化處、管渠會流點、管渠底部高程驟變或為量測流量、清理之需要,應設置人孔。
二、管渠直線段,其人孔設置之間距,按清理、維修、管渠接合、施工作業長度及其他需要,依下列規定定之;雙孔以上箱涵之人孔,應分別設置並交錯排列。
三、人孔為圓形或矩形者,得採用場鑄或預鑄。
四、人孔入口上部,應設不影響交通之人孔蓋,其材質為石墨鑄鐵或耐壓材料製成,且為平整、輕量設計,具有防止濕滑、掉落、浮跳、輾壓噪音、非法投棄異物及高度調整功能,並留設安裝開啟機具之孔口。人孔蓋直徑,應配合人孔入口內徑為六十公分以上。
五、人孔入口內徑最小為六十公分。入口深度大於五十公分時,內徑應漸增至九十公分,並應於直壁設置符合國家標準之人孔踏步。
六、人孔踏步最上一階與地面之間距、最下階與人孔底部之間距,均為三十公分至四十五公分,其餘每階間距為三十公分。
七、管徑二千五百公厘以上之管渠,每隔五百公尺應設置機械清掃孔,且為平整設計。
∩
--114年11月4日修正前條文--
﹝1﹞人孔設置規定如下:
一、下水道管渠在管渠起始點、管渠方向、坡度、管徑變化處、管渠會流點、管渠底部高程驟變或為量測流量、清理之需要,應設置人孔。
二、管渠直線部分,人孔設置之間距按清理、維修、管渠接合、施工作業長度等需要,依下表規定;雙孔以上箱涵之人孔,應分別設置並交錯排列。
■
三、人孔為圓形或矩形,可採用場鑄或預鑄。
四、人孔入口上部應設不影響交通之人孔蓋,其材質為鑄鐵或耐壓材料製成,且為平整、輕量設計,具有防止濕滑、掉落、浮跳、輾壓噪音、非法投棄異物及高度調整功能,並留設安裝開啟機具之孔口。人孔蓋直徑應配合人孔入口內徑為六十公分以上。
五、人孔入口內徑最小為六十公分。入口深度大於五十公分時,內徑應漸增至九十公分,並應於直壁設置符合國家標準之人孔踏步。
六、人孔踏步每階間距三十公分,最上一階之間距為三十公分至四十五公分。
七、管內徑二千五百公厘以上之管渠,每隔五百公尺應設置機械清掃孔,且為平整設計。
--98年11月27日修正前條文--
﹝1﹞人孔設置規定如下:
一、下水道管渠在管渠方向、坡度、管徑變化處、管渠匯流點、管渠底部高程驟變或為量測流量、清理之需要,應設置人孔。
二、管渠直線部分,人孔設置之間距依下表規定。雙孔以上箱涵之人孔,應分別設置並交錯排列:
三、人孔為圓形或矩形,可採用場鑄或預鑄。
四、人孔入口上部應設不影響交通之人孔蓋,其材質為鑄鐵或耐壓材料製成,具有高度調整功能,並留設安裝開啟機具之孔口。人孔蓋直徑應配合人孔入口內徑為六十公分以上。
五、人孔入口內徑最小為六十公分。入口深度大於五十公分時,內徑應漸增至九十公分,並應於直壁設置符合國家標準之不銹鋼踏步。
六、人孔不銹鋼踏步每階間距三十公分,最上一階之間距為三十公分至四十五公分。
七、管內徑二千公厘以上之管渠,每隔二百公尺至三百公尺應設置機械清掃孔。
∪
第9條
﹝1﹞合流制下水道雨水溢流井設置規定如下:
一、位置應接近放流水域,並依污水截流管之配置及放流水域之特性選定。
二、計畫溢流量等於該放流點處之計畫水量減去污水截流管之設計流量。
三、污水截流管之設計流量為計畫污水量之三倍至五倍。
四、應設置出入口。
第10條
﹝1﹞土地開發利用而增加之逕流量,足以影響下游防洪及排水系統者,應設置滯洪池及沉砂池。
--114年11月4日修正前條文--
﹝1﹞土地開發利用而增加之逕流量,足以影響下游防洪及排水系統者,應設置雨水調節池及沉砂池。
第11條
﹝1﹞滯洪池設置規定如下:
一、應依下游既設管渠、抽水站及排水承受水體等排水能力,選定設置位置。
二、滯洪池設計容量,至少應以各直轄市、縣(市)政府所定區域性下水道計畫採用頻率之降雨強度及出水口外水位計算。
三、滯洪池容量,應依開發前後逕流係數之改變、下游排水設施之排水能力及設計集流時間等因素定之。
四、滯洪池之構造為堰堤式、掘進式或地下式者,應以重力方式放流。但因現地條件限制並經主管機關同意者,得採機械抽排方式辦理。
--114年11月4日修正前條文--
﹝1﹞雨水調節池設置規定如下:
一、位置應依下游既設管渠、抽水站及排水承受水體等排水能力選定。
二、調節池設計之容量至少應採用五十年以上一次頻率之降雨強度計算開發後之雨水最大逕流量。
三、調節池容量之決定,應考慮開發前後逕流係數之改變、下游排水設施之排水能力及設計集流時間等因素。
四、雨水調節池之構造為堰堤式、掘進式或地下式,應以重力方式放流。
第12條
﹝1﹞沉砂池設置規定如下:
一、沉砂池淤砂量之多寡依季節、地質及地表狀況變化,沉砂量以計畫開發面積每公頃三十立方公尺估算。在山坡地開發施工期間,應以計畫開發面積每公頃二十立方公尺至一百五十立方公尺之沉砂量估算設置臨時沉砂池。
二、沉砂池無法設置處,得以包含沉砂容量之滯洪池代之。
--114年11月4日修正前條文--
﹝1﹞沉砂池設置規定如下:
一、沉砂池淤砂量之多寡依季節、地質及地表狀況變化,沉砂量以計畫開發面積每公頃三十立方公尺估算。在山坡地開發施工期間,應以計畫開發面積每公頃二十立方公尺至一百五十立方公尺之沉砂量估算設置臨時沉砂池。
二、沉砂池無法設置處,得以包含沉砂容量之雨水調節池代之。
第13條
﹝1﹞雨水井及連接管設置規定如下:
一、雨水井:
(一)應設置於道路內之道路側溝或 L 型溝匯流點,並以連接管接入雨水幹支渠。
(二)為矩形之混凝土或鋼筋混凝土製,淨寬為六十公分以上,井深為一百二十公分以上,底部應設有十五公分以上之沉砂池,井蓋為鑄鐵、鋼筋混凝土製或鍍鋅格柵。
(三)得設置滲透雨水陰井或滲透管,以減低逕流量、增加地下水位。
二、連接管:
(一)應為鋼筋混凝土管或其他同等外壓強度之耐久性管渠。
(二)坡度保持百分之一以上,與本管之連接處應在本管之上半部。
(三)最小管徑為五百公厘。
(四)連接處之構造為叉管連接。
(五)因現地環境或地形特殊,經檢具技師簽證之水理分析計算證明,送主管機關審認無礙排水能力者,不受第二目及第三目規定限制。
--114年11月4日修正前條文--
﹝1﹞雨水井及連接管設置規定如下:
一、雨水井:
(一)應設置於道路內之道路側溝或L型溝匯流點,並以連接管接入雨水幹支渠。
(二)為矩形之混凝土或鋼筋混凝土製,內寬為六十公分,井深為一百二十公分以上,底部應設有十五公分以上之沉砂池,井蓋為鑄鐵或鋼筋混凝土製。
(三)得設置滲透雨水陰井或滲透管,以減低逕流量、增加地下水位。
二、連接管:
(一)應為鋼筋混凝土管或其他同等外壓強度之耐久性管渠。
(二)坡度保持百分之一以上,與本管之連接處應在本管之上半部。
(三)最小管徑為五百公厘。
(四)連接處之構造為叉管連接。
第14條
﹝1﹞道路側溝設置規定如下:
一、U型側溝設置於道路二側,溝頂鋪以溝蓋板,底槽為半圓形,溝底縱坡應使流速符合第三條第三款之規定。
二、前款側溝淨寬不得小於三十公分,淨高(含出水高,不含溝蓋厚度)以四十公分以上,一公尺以下為原則。
三、進水口間距為四公尺至十公尺。
四、道路 L 型側溝橫坡最緩為十分之一,最陡為五分之一。
--114年11月4日修正前條文--
﹝1﹞道路側溝設置規定如下:
一、U型側溝設置於道路二側,溝頂舖以預鑄溝蓋板,底槽為半圓形,溝底縱坡應使流速符合
第七條之規定。
二、進水口間距為四公尺至十公尺。
三、道路L型側溝橫坡最緩為十分之一,最陡為五分之一。
第15條
﹝1﹞排放口設置規定如下:
一、放流水之流速不得妨礙航行、影響附近構造物及造成沖刷。
二、排放口之底面高程應高於河海湖泊等承受水體之最低水位。
三、排放口低於外水位且有人孔冒水之虞者,應設置自動控制式閘門及備用之手動式閘門或擋水板。∩
--114年11月4日修正前條文--
﹝1﹞排放口設置規定如下:
一、放流水之流速不得妨礙航行、影響附近構造物及造成沖刷。
二、排放口之底面高程應高於河海湖泊等承受水體之最低水位。
三、排放口低於外水位者,應設置自動控制式閘門及備用之手動式閘門或擋水板。
∪
回索引〉〉第二章 雨水下水道工程設施 第二節 雨水抽水站設施
第16條
﹝1﹞雨水抽水站設施規定如下:
一、應設於地形上較低及接近排放口位置,並應避免浸水。
二、雨水下水道抽水量之估計,採用計畫逕流量。
三、吸水位應以流進管渠之最高及最低水位決定;出水位應以計畫外水位設計。
四、選擇抽水機組及其動力設備應設置備用機組。
五、燃油系統應符合消防及環境保護法規規定。
--114年11月4日修正前條文--
﹝1﹞雨水抽水站設施規定如下:
一、應設於地形上較低及接近排放口位置,並應避免浸水。
二、雨水下水道抽水量之估計採用計畫逕流量。
三、吸水位應以流進管渠之最高及最低水位決定;出水位應以計畫外水位設計。
四、選擇抽水機組及其動力設備應設置備用機組。
五、抽水機室、配電室及主控室之消防設備應符合
消防法規規定。
第17條
﹝1﹞攔污柵應設置於抽水站之前,其設置規定如下:
一、應設有柵除物之處理裝置。
二、應有保養檢查用通道,作業上危險處應設置扶手或欄杆,設於室內者應有通風設備。
三、設於沉砂池之前者,其柵之有效間隔為五十公厘至一百五十公厘,設於後者為二十五公厘至五十公厘。
四、以機械清理者,傾斜角與水平成七十度至九十度;以人工清理者,傾斜角與水平成四十五度至六十度。
五、水流通過攔污柵之流速在計畫流量時為每秒零點九公尺以下。
六、柵條寬為六公分至九公分,應具有承受前後水位差一公尺以上之水壓強度,以粗、細二道柵除,並設置適當之繞流設施。
第18條
﹝1﹞沉砂池應設置於抽水站之前,其設置規定如下:
一、應設有沉砂洗淨裝置。
二、應有保養檢查用通道,作業上危險處應設置扶手或欄杆,設於室內者應有通風設備。
三、池為矩形或圓形之水密性構造物,池數為二個以上,矩形池之池底坡度為百分之零點五至百分之一。
四、池之有效深度應配合進流管渠之有效水深而定,池底應加百分之十至百分之三十有效水深且至少三十公分以上之沉砂槽,其進流口之配置應防止短流。
五、池之表面積負荷率為每日每平方公尺三千六百立方公尺為原則,池內之平均流速為每秒零點三公尺,停留時間為三十秒至六十秒。
六、出入口應設閘門及擋水板,閘門應為電動式、油壓式或手動式。電動式開關應備有緊急手動操作設備。
七、應設置機械式除砂設備。
第19條
﹝1﹞抽水井設置規定如下:
一、應為鋼筋混凝土等水密性抗浮力之構造物。
二、抽水井及其進流口之配置,應防止引起亂流或渦流現象。
三、抽水井與導水管渠應為直角,管渠內平均流速以每秒一公尺為準,並設置適當之繞流設施。
第20條
﹝1﹞抽水設備設置規定如下:
一、抽水機應採同一性能同一容量,其設置臺數依計畫抽水量之時變遷及抽水機性能而定。但計畫抽水量之變化甚大者,得採用不同容量之抽水機。
二、抽水機吸水管管徑依抽水量及吸水管內流速決定之,其計算式如下:
▼
式中:D為抽水機吸水管管徑(公厘);Q為抽水量(立方公尺/分);V為吸水管內流速(公尺/秒)。
三、吸水管內流速為每秒一公尺至三公尺,出水管之管徑依吸水管管徑、總揚程及比速決定。
四、抽水機總揚程依淨揚程、吸水管與出水管及閥類之水頭損失及出水管末端之速度水頭決定。
五、抽水機淨揚程依抽水機之入口水位、放流水位之變動範圍決定。
六、抽水機之型式依計畫條件選擇最適合標準特性之比速及轉速,並視抽水揚程、裝設位置及抽水量決定之。有浸水之虞或吸入揚程大時,應採用豎軸式或沉水式抽水機。
七、抽水機之原動機出力應為抽水機之軸馬力加適當之餘裕;使用電動機時應加抽水機軸馬力百分之十至百分之二十之餘裕;使用內燃機時應加抽水機軸馬力百分之十五至百分之三十之餘裕。另設減速機者,原動機之出力應有零點九二至零點九七之傳達效率。
八、抽水機之吸入淨揚程應使抽水機不發生孔蝕現象,並依抽水機之型式縮至最小,渦卷式抽水機之吸入淨揚程應為五公尺以下。
九、抽水機出水管線有發生水錘作用之虞時,應設防止或減輕此項作用之措施,其位置應接近抽水機出口。
十、抽水機吸水管:
(一)每臺抽水機應分設吸水管一支。
(二)吸水管應避免水平裝置。無法避免時,應縮短水平管長度,並設向抽水機呈百分之二以上坡度。
(三)吸水管接頭及其管件不得漏氣,管內不應有空氣停積,並應儘量減少彎曲。
(四)管端為喇叭形,管端至最低水位與抽水井底面之深度、吸水管相互間之距離及管與抽水井壁面之間應有適當之間隔。
(五)吸水管甚長時,中間得設固定支架,吸水管口徑不得小於抽水機口徑。
(六)壓力狀態之吸水管應設置制水閥。
十一、橫軸式抽水機與原動機之基礎應為一體,為混凝土構造。基礎之強度應充分支撐抽水機運轉時之最大荷重,基礎之重量應足以抑制抽水機之震動。以電動機帶動時,獨立基礎之重量通常為機械重量之三倍以上。
十二、抽水機附屬及輔助設備:
(一)抽水機之吸水管及出水管應裝設真空計及壓力計或複式壓力計。
(二)抽水井及出水井應裝設水位檢測指示設備。
(三)設有大型抽水機之抽水站應裝設吊車,並配合抽水機之型式設置供給水封、冷卻及潤滑用水等設備。
(四)排水管線上應設置逆止設備,以防止抽水機因停電或其他原因無法運轉時產生逆流。抽水機房內無法自然排水時,應設置排水抽水機。
--114年11月4日修正前條文--
﹝1﹞抽水設備設置規定如下:
一、抽水機應採同一性能同一容量,其設置臺數依計畫抽水量之時變遷及抽水機性能而定。但計畫抽水量之變化甚大者,得採用不同容量之抽水機。
二、抽水機吸水管管徑依抽水量及吸水管內流速決定之,其計算式如下:
▼
式中:D為抽水機吸水管管徑(公厘);Q為抽水量(立方公尺/分);V為吸水管內流速(公尺/秒)。
三、吸水管內流速為每秒二公尺至三公尺,出水管之管徑依吸水管管徑、總揚程及比速決定。
四、抽水機總揚程依淨揚程、吸水管與出水管及閥類之水頭損失及出水管末端之速度水頭決定。
五、抽水機淨揚程依抽水機之入口水位、放流水位之變動範圍決定。
六、抽水機之型式依計畫條件選擇最適合標準特性之比速及轉速,並視抽水揚程、裝設位置及抽水量決定之。有浸水之虞或吸入揚程大時,應採用豎軸式或沉水式抽水機。
七、抽水機之原動機出力應為抽水機之軸馬力加適當之餘裕;使用電動機時應加抽水機軸馬力百分之十至百分之二十之餘裕;使用內燃機時應加抽水機軸馬力百分之十五至百分之三十之餘裕。另設減速機者,原動機之出力應有零點九二至零點九七之傳達效率。
八、抽水機之吸入淨揚程應使抽水機不發生孔蝕現象,並依抽水機之型式縮至最小,渦卷式抽水機之吸入淨揚程應為五公尺以下。
九、抽水機出水管線有發生水錘作用之虞時,應設防止或減輕此項作用之措施,其位置應接近抽水機出口。
一○、抽水機吸水管:
(一)每臺抽水機應分設吸水管一支。
(二)吸水管應避免水平裝置。無法避免時,應縮短水平管長度,並設向抽水機呈百分之二以上坡度。
(三)吸水管接頭及其管件不得漏氣,管內不應有空氣停積,並應儘量減少彎曲。
(四)管端為喇叭形,管端至最低水位與抽水井底面之深度、吸水管相互間之距離及管與抽水井壁面之間應有適當之間隔。
(五)吸水管甚長時,中間得設固定支架,吸水管口徑不得小於抽水機口徑。
(六)壓力狀態之吸水管應設置制水閥。
一一、橫軸式抽水機與原動機之基礎應為一體,為混凝土構造。基礎之強度應充分支撐抽水機運轉時之最大荷重,基礎之重量應足以抑制抽水機之震動。以電動機帶動時,獨立基礎之重量通常為機械重量之三倍以上。
一二、抽水機附屬及輔助設備:
(一)抽水機之吸水管及出水管應裝設真空計及壓力計或複式壓力計。
(二)抽水井及出水井應裝設水位檢測指示設備。
(三)設有大型抽水機之抽水站應裝設吊車,並配合抽水機之型式設置供給水封、冷卻及潤滑用水等設備。
(四)排水管線上應設置逆止設備,以防止抽水機因停電或其他原因無法運轉時產生逆流。抽水機房內無法自然排水時,應設置排水抽水機。
第21條
﹝1﹞抽水機之操作控制規定如下:
一、使用自動或遙控設備操作抽水機時,應按抽水機之型式及安裝情形裝設置下列設備:
(一)水位計。
(二)檢查出水管壓力之壓力指示設備。
(三)水封、冷卻及潤滑等用水之水流檢查設備。
(四)在出水管制水閥設置極限開關及洩壓閥等安全裝置。
(五)在起動水封、冷卻及潤滑等用水配管必要地點設置電磁閥。
二、應設置偵側不正常運轉、故障時停止運轉、發出警報或故障指示等適當之保護設備。
三、流量之控制應考慮抽水機操作臺數、轉速及出水管制水閥開關等因素。
第22條
﹝1﹞電動機設置規定如下:
一、應採用感應式電動機。
二、型式,依安裝地點之周圍環境而定,其選用應符合下表規定:
■
三、起動電流,應符合
用戶用電設備裝置規則之規定。
四、應設置適當之過電流保護設備,且開關與起動器設備相互間應設防止誤操作之連鎖裝置。
五、應具有 E 級以上之絕緣等級。
--114年11月4日修正前條文--
﹝1﹞電動機設置規定如下:
一、應採用感應式電動機。
二、型式依安裝地點之周圍環境而定,並依下表規定:
▼
三、起動電流應符合臺灣電力股份有限公司(以下簡稱臺電公司)屋內裝置規定。採用非全電壓起動者,應配合電動機之種類及容量依下表選用最適宜之起動設備:
▼
四、應設置適當之過電流保護設備,且開關與起動器設備相互間應設防止誤操作之連鎖裝置。
五、應具有E級以上之絕緣等級。
第23條
﹝1﹞內燃機設置規定如下:
一、雨水抽水機之動力或備用發電之原動機,應為柴油內燃機。
二、柴油內燃機應設置下列輔助設備:
(一)可貯存四十八小時連續運轉所需燃油之儲油槽。
(二)起動設備:
1.空氣起動者:壓縮空氣筒及空氣壓縮機。
2.電力起動者:蓄電池及充電設備。
(三)冷卻水設備。
(四)潤滑油設備。
(五)消音設備。
(六)使用大型內燃機者應裝設電動吊車。
--114年11月4日修正前條文--
﹝1﹞內燃機設置規定如下:
一、雨水抽水機之動力或備用發電之原動機,應為柴油內燃機。
二、柴油內燃機應設置之輔助設備:
(一)可貯存四十八小時連續運轉所需油類之燃料箱。
(二)起動設備:
1.空氣起動者:壓縮空氣筒及空氣壓縮機。
2.電力起動者:蓄電池及充電設備。
(三)冷卻水設備。
(四)潤滑油設備。
(五)消音設備。
(六)使用大型內燃機者應裝設電動吊車。
第24條
﹝1﹞電力設備設置規定如下:
一、電力設備,應依
用戶用電設備裝置規則規定裝設,並充分考慮操作、維護、管理及防止事故之發生,其受電電壓應依台灣電力股份有限公司營業相關規定,並視該地區之供電方式與該公司洽定。
二、受電設備其容量不得低於最大負載容量之一點二五倍。
三、變電設備其容量至少應預留百分之二十餘裕。
四、緊急發電設備:
(一)應符合
各類場所消防安全設備設置標準規定。
(二)因停電而影響安全及製程之重要設備,應設置自用緊急發電設備及其他備用電力。
(三)應採用柴油引擎同步發電機為原則。
--114年11月4日修正前條文--
﹝1﹞電力設備設置規定如下:
一、電力設備應依臺電公司有關規定裝設,並充分考慮操作、維護、管理及防止事故之發生,其受電電壓應依臺電公司營業相關規定並視該地區之供電方式與臺電公司洽定。
二、受電設備其容量不得低於最大負載容量之一點二五倍。
三、變電設備其容量至少應預留百分之二十餘裕。
四、緊急發電設備:
(一)應符合
各類場所消防安全設備設置標準規定。
(二)因停電而影響安全及製程之重要設備,應設置自用緊急發電設備及其他備用電力。
(三)應採用柴油引擎同步發電機為原則。
第25條
﹝1﹞抽水機室、配電室及主控室設置規定如下:
一、抽水機室及配電室構造:
(一)應使用鋼筋混凝土等不燃性構造物;特殊情況使用易燃性材料時,電力設備之上方天花板及側面,應以不燃物覆蓋。
(二)應有良好通風、採光,防止噪音、振動及充分照明設備,並避免浸水。
(三)應選設在無氯氣或其他腐蝕性、可燃性氣體發生或滯留之地點。
(四)抽水機室應預留適當空間便於機械拆裝時放置之用。
(五)配電室之設置應參照台灣電力股份有限公司有關配電室設置規定。
二、主控室之構造應通風良好,充分照明設備及能防止噪音、振動,並設在易於監視管理抽水機及配電設備之地點。
三、抽水機、內燃機及電力設備,應視需要加裝適當之隔音設備。
四、抽水機室、配電室及主控室之消防設備應符合
消防法規規定。
∩
--114年11月4日修正前條文--
﹝1﹞抽水機室、配電室及主控室設置規定如下:
一、抽水機室及配電室構造:
(一)應使用鋼筋混凝土等不燃性構造物;特殊情況使用易燃性材料時,電力設備之上方天花板及側面,應以不燃物覆蓋。
(二)應有良好通風、採光,防止噪音、振動及充分照明設備,並避免浸水。
(三)應選設在無氯氣或其他腐蝕性、可燃性氣體發生或滯留之地點。
(四)抽水機室應預留適當空間便於機械拆裝時放置之用。
(五)配電室之設置並應參照臺電公司有關配電室設置規定。
二、主控室之構造應通風良好,充分照明設備及能防止噪音、振動,並設在易於監視管理抽水機及配電設備之地點。
三、抽水機、內燃機及電力設備,應視需要加裝適當之隔音設備。
∪
回索引〉〉第三章 下水道工程設施 第一節 污水下水道管渠及其附屬設施 (原:污水管渠及其附屬設施)
第26條
﹝1﹞污水下水道之計畫下水量、水力計算及流速規定如下:
一、計畫下水量依下列規定。但必要時,得依排水區域之實際情況酌予增減:
(一)分流污水管渠以計畫最大時污水量。
(二)合流下水管渠以計畫逕流量加計畫最大時污水量。
(三)截流污水管渠以雨天時之計畫污水截流量。
二、管渠之水力計算採曼寧(Manning)公式◇(
) 或庫特 (Kutter)
公式◇(
),式中:V為流速(公尺/秒);n為粗糙係數;R為水力半徑(公尺);S為水力坡度(分數或小數)。
三、污水管渠於計畫污水量時,最小流速為每秒零點六公尺,最大流速為每秒三公尺。
四、合流管渠於計畫下水量時,最小流速為每秒零點八公尺,最大流速為每秒三公尺。
第27條
﹝1﹞污水管渠種類及斷面依第四條規定。但公共污水下水道管渠之最小管徑不得小於二百公厘。
第28條
﹝1﹞污水管渠之埋設位置、覆土深度、基礎及保護措施、管渠接合及接頭、倒虹吸管設置,依第五條至第七條規定。
第29條
﹝1﹞人孔設置規定如下:
一、下水道管渠在管渠起始點、管渠方向、坡度、管徑變化處、管渠會流點、管渠底部高程驟變或為量測流量、清理之需要,應設置人孔。
二、管渠直線段,其人孔設置之間距,按清理、維修、管渠接合、施工作業長度及其他需要,依下表規定定之:
■
三、人孔為圓形或矩形者,得採用預鑄或場鑄。
四、人孔入口上部,應設不影響交通之人孔蓋,其材質為石墨鑄鐵或耐壓材料製成,且為平整、輕量、緊密設計,具有防止濕滑、掉落、浮跳、輾壓噪音、非法投棄異物、雨水及砂土滲入、臭氣外溢及高度調整功能,並留設安裝開啟機具之孔口。人孔蓋直徑,應配合人孔入口內徑為六十公分以上。
五、人孔入口內徑最小為六十公分。入口深度大於五十公分時,內徑應漸增至九十公分,並應於直壁設置符合國家標準之人孔踏步。
六、人孔踏步最上一階與地面之間距、最下階與人孔底部之間距,均為三十公分至四十五公分,其餘每階間距為三十公分。
七、人孔內表面應採防蝕及其保護處理。
八、人孔底部依管之形狀設置凹形導水槽。
∩
--114年11月4日修正前條文--
﹝1﹞人孔設置規定如下:
一、下水道管渠在管渠起始點、管渠方向、坡度、管徑變化處、管渠會流點、管渠底部高程驟變或為量測流量、清理之需要,應設置人孔。
二、管渠直線部分,人孔設置之間距按清理、維修、管渠接合、施工作業長度等需要,依下表規定:
■
三、人孔為圓形或矩形,得採用預鑄或場鑄。
四、人孔入口上部應設不影響交通之人孔蓋,其材質為鑄鐵或耐壓材料製成,且為平整、輕量、緊密設計,具有防止濕滑、掉落、浮跳、輾壓噪音、非法投棄異物、雨水及砂土滲入、臭氣外溢及高度調整功能,並留設安裝開啟機具之孔口。人孔蓋直徑應配合人孔入口內徑為六十公分以上。
五、人孔入口內徑最小為六十公分。入口深度大於五十公分時,內徑應漸增至九十公分,並應於直壁設置符合國家標準之人孔踏步。
六、人孔踏步每階間距三十公分,最上一階之間距為三十公分至四十五公分。
七、人孔內表面應採防蝕及其保護處理。
八、人孔底部依管之形狀設置凹形導水槽。
--98年11月27日修正前條文--
﹝1﹞人孔之設置除依
第八條規定外,並依下列規定:
一、人孔得採用預鑄或場鑄,底部依管之形狀設置凹形導水槽。無法直接進入管渠內清除淤泥之小管徑時,應設置機械清除孔。
二、人孔內表面應採防蝕及其保護處理,其人孔蓋應採防臭密閉式。
∪
第30條
﹝1﹞污水井及連接管設置規定如下:
一、污水井:為圓形或矩形之鋼筋混凝土預鑄品或場鑄品,內徑或內寬為三十公分至七十公分,深度為七十公分至一百公分,井蓋為鑄鐵或耐壓材料製成,底部應為凹形導水槽。
二、連接管之設置除依第十三條規定外,並依下列規定:
(一)埋設平面方向應與本管成垂直,其連接處與本管形成六十度或九十度,連接管立面坡度為千分之十以上,連接處在本管中心線之上方。
(二)污水連接管最小管徑為二百公厘。
第31條
﹝1﹞排放口之設置除依第十五條規定外,其設置位置及放流水之流向,並不得使污水在其附近停滯。
第32條
﹝1﹞海洋放流設施設置規定如下:
一、海洋放流管:
(一)應考量海潮流向、稀釋率、海域生態及航行干擾等因素決定其埋設方向、深度及長度。
(二)應考量防範地震、海嘯及流沙等之保護措施。
(三)海洋放流管及其附屬設施應採用具防蝕、耐壓、持久及水密性之鋼管、鋼筋混凝土管或玻璃纖維複合管等。管身每單位長度浸水比重至少為一點三,管內、外之耐壓強度應為每平方公分五公斤以上。
(四)應按裝設進度逐節進行漏水試驗。
(五)放流管之管徑及形狀應考量管內流速、水頭損失及經濟條件等因素,管內之平均流速為每秒零點六公尺至零點九公尺。
(六)放流管得視實際需要設置人孔,各入口應高出海床面零點五公尺以上,圓形人孔之直徑為一點一公尺以上,正方形人孔之邊長應為零點九公尺以上,人孔蓋之大小須配合人孔入口內徑,並應設置可裝置壓力計之活栓。
二、放流擴散管:
(一)銜接前應設阻隔牆,其上端應有頂蓋。
(二)應設置擴散器,其各出口應同向水平排列,方向應與常年海流方向垂直。海流如無固定方向,應採用Y型、V型或其他型式之擴散器。
(三)末端應設有沖洗口,並應設置安全栓使沖洗口蓋得以分段啟閉。沖洗口應介於十五度至四十五度之角度逐漸調昇,並以螺栓相銜接,使沖洗口得以伸出海床面。
(四)應設置適當之保護措施。
三、應設置永久性警告浮標,浮體直徑為一點二公尺以上,出水高為二點五公尺以上。
回索引〉〉第三章 污水下水道工程設施 第二節 污水抽水站設施
第33條
﹝1﹞污水抽水站設施除分流制之污水下水道抽水量採用計畫最大時污水量,合流制下水道抽水量採用計畫污水截流量外,依第十六條規定。
第34條
﹝1﹞攔污柵之設置除依第十七條規定外,並依下列規定:
一、應設置於抽水站或處理設施之前。
二、設於沉砂池之前者,其柵之有效間隔為五十公厘至一百五十公厘,設於之後者為十五公厘至二十五公厘。
第35條
﹝1﹞沉砂池設置規定如下:
一、應設置於抽水站或處理設施之前。
二、採水平流沉砂池設置者,除依第十八條規定外,池之表面積負荷率為每日每平方公尺一千八百立方公尺,池內之平均流速為每秒零點三公尺,停留時間為三十秒至六十秒。
三、採曝氣沉砂池設置者,其規定如下:
(一)散氣裝置設於距離池底六十公分以上,送氣量以曝氣沉砂池每一公尺長度曝氣每秒五公升至十三公升為準,並應設置消泡設施。
(二)停留時間為一分鐘至五分鐘,有效水深為二公尺至四公尺,出水高為三十公分以上,池底應加三十公分以上之沉砂槽。
四、採渦流式沉砂池設置者,其出口寬度為入口寬度的二倍,池表面積負荷率為每日每平方公尺四千八百立方公尺以下,池內應裝置機械式攪拌設施防止有機物沉澱。停留時間為二十秒至三十秒。
第36條
﹝1﹞抽水井設置依第十九條規定。
第37條
﹝1﹞抽水設備之設置除依第二十條規定外,並依下列規定:
一、抽水機依下表設置:■
二、抽水機容量依下表配置:■
三、抽水設備應視需要考量防爆等安全措施。
第38條
﹝1﹞抽水機之操作控制、電動機、內燃機、電力設備、抽水機室、配電室及主控室之設置依第二十一條至第二十五條之規定。
回索引〉〉第三章 污水下水道工程設施 第三節 污水處理設施
第39條
﹝1﹞污水處理廠設計規定如下:
一、設置時應考量地形及用地形狀、大小,採用集中或分區處理,並得預留擴建用地。
二、計畫污水量之規定:
(一)計畫污水量按初級處理、二級處理、高級處理程度,依下表設計:■
(二)污水處理廠進流污水量及水質,應依地域之特性及事業廢水狀況事先調查預估。必要時,得設置污水調節池。
三、處理方法之選擇應考慮放流水標準及承受水體之水體分類及水質標準,並依處理廠位置及其規模、建設及操作等經濟因素及相關資源等,配合處理設施設計之指標,計算污染物質之去除率,決定最適當之處理方法。
四、設計指標以五日生化需氧量及懸浮固體表示,其各級污水處理程度及其去除率範圍規定如下:■
第40條
﹝1﹞污水調節池設置規定如下:
一、容量以計畫污水量之時間變化量計算,並應設置攪拌裝置。
二、池之形狀為矩形或圓形之水密性構造,有效水深為三公尺至五公尺,並應考慮空池時之浮力作用。
三、流出設備以抽水機抽送至污水處理設施,並設置流量計。
第41條
﹝1﹞預先曝氣池設置規定如下:
一、容量依計畫最大日污水量及曝氣滯留時間定之。
二、池之形狀為矩形或圓形。池寬或直徑為水深之一倍至二倍,為水密性構造。有效水深為四公尺至六公尺,出水高為五十公分,池頂高出地面至少十五公分。池邊應設寬九十公分以上之維護走道並設護欄。
三、曝氣方式、送氣量及曝氣之裝置:
(一)曝氣方式應能使污水產生渦流,並使懸浮固體保持懸浮狀態。
(二)送氣量依計畫最大日污水量設計。
(三)曝氣裝置得使用散氣板、散氣盤、散氣管或噴氣口等。材質應具耐酸、耐鹼及耐久性,其設置位置宜於曝氣池下方及易於取出維護之處。
四、曝氣停留時間為十分鐘至二十分鐘;有迴流活性污泥者為二十分鐘至三十分鐘。
五、迴流剩餘活性污泥者,其迴流量為計畫最大日剩餘活性污泥量之百分之百。
六、除在池之進出口設置開關或閘門,調節流量外,並應設置消泡設備。
第42條
﹝1﹞沉澱池設置規定如下:
一、初步沉澱池:
(一)池之形狀為矩形時,矩形池長與寬之比為三比一至五比一,寬度及長度依刮泥設備而定,其寬度為五公尺以下,長度為四十公尺以下,池數為二池以上,為水密性構造,並應設置刮泥設備。圓形池池底坡度為百分之五至百分之十,矩形池池底坡度為百分之一至百分之二。
(二)漏斗型之污泥貯留槽壁應與水平成六十度以上。
(三)初步沉澱池之計畫污水量依計畫最大日污水量設計,其有效水深、水面積負荷、沉澱時間,及溢流負荷等規定如下表:■
(四)池牆之出水高為五十公分,在進流口應設置整流壁。
(五)出水設備以使用溢流堰者為主,並設置除渣設備。止渣板之板頂距水面十公分,板底在水面下三十公分至四十公分。
(六)矩形池應設有連續轉動式或往復式刮泥板,刮泥板速度為每分鐘零點三公尺至一點二公尺,圓形池宜設迴轉式刮泥板,以每小時一週轉至三週轉,刮泥板外週速度為每分鐘三公尺以下。
(七)污泥應以抽泥機抽排,其排泥管之口徑應為一百五十公厘以上,排泥管之配置應考慮易於清除,並在適當地點設清除口。
二、最終沉澱池:
(一)最終沉澱池之計畫污水量依計畫最大日污水量設計,其有效水深、水面積負荷、沉澱時間及溢流負荷等範圍規定如下表:■
(二)池牆之出水高為五十公分,整流壁之設置同初步沉澱池。
(三)出水設備以溢流堰為主。
(四)污泥得藉水位差排放或以抽泥機抽排,其排泥管之口徑應為一百五十公厘以上,排泥管之配置應考慮易於清除,並在適當地點設清除口。
(五)其餘形狀、構造、刮泥機設備依照前款初步沉澱池之規定置。
第43條
﹝1﹞曝氣池設計及設置規定如下:
一、曝氣池按處理方法不同依下表規定設計:■
■
二、曝氣池設置採散氣式者,規定如下:
(一)送氣量依污水生化需氧量之去除量、硝化反應需氧量、曝氣槽混合液懸浮固體之需氧量及散氣設備之散氣效率等因素估計。
(二)容量按計畫最大日污水量、食微比及曝氣時間等估算,形狀為矩形,其寬度為水深之一倍至二倍,有效水深為四公尺至六公尺,池數為二池以上,必要時每隔二十公尺至四十公尺應設置阻流壁。
(三)池體構造及散氣裝置依第四十一條預先曝氣池規定設置,且其進口端應有污水及迴流污泥之計量設備。
(四)送氣管應防洩氣、耐高溫及防蝕。各部管徑之設計容量應較實際送氣量多百分之三十至百分之五十,管內平均流速為每秒三公尺至十五公尺,管線之氣壓總水頭損失為七百公厘至一千公厘。應裝置空氣計量器,各支管及主要送氣管並應裝置開關。
(五)鼓風機應設二部以上。最大送風壓力應大於散氣裝置所需水壓及氣壓總損失之和。鼓風機內應含空氣濾清器設備。鼓風機之基礎應為防震構造,並設有適當之噪音防制設備。
(六)迴流污泥抽泥機應設二部以上,其計畫容量為計量迴流污泥量之一點五倍至二倍,並應附有易於採樣及計量之裝置。
(七)進流及流出口應設止水閥或閘門,並在適當處設置排水管或可移動之抽水機。
(八)應設有消泡裝置,噴水之尖端壓力為每平方公分一公斤至一點五公斤。每一噴嘴之噴水量為每分鐘六公升至十公升,噴嘴高度為水面上零點三公尺至零點六公尺,噴嘴間之距離為一點二公尺至一點五公尺。消泡之抽水機以使用離心式為主,噴嘴及配水管應具耐蝕性。
三、曝氣池設置採機械攪拌式者,規定如下:
(一)送氣量按其生化需氧量之去除量、去除混合液懸浮固體需氧量及硝化反應需氧量決定供給。
(二)豎軸式機械攪拌曝氣池之容量,按計畫最大日污水量、食微比及曝氣時間估算之。池體為水密性之構造物,由多室之正方形池所構成,正方形各室間應設阻流板。池頂高出地面至少十五公分並設維護曝氣機之走道,池之四週及走道應設護欄。出水高應在八十公分以上。污泥迴流及附屬設備依前款規定設置。曝氣機依預先曝氣池規定設置。
(三)橫軸式機械攪拌曝氣池之容量,按計畫最大日污水量、食微比及曝氣時間估算之。池之有效水深為一公尺至三公尺,池寬為水深之一倍至二倍。池內流速每秒應大於零點三公尺,池底應設自然排水之洩水口,曝氣池有二個以上時應設連通口以便串連操作。如曝氣機為輪刷式曝氣機,其旋轉數為每分鐘六十轉至一百二十轉,並設變速或變浸水深度裝置。污泥迴流及附屬設備設置依前款規定設置。
第44條
﹝1﹞生物膜法反應池之設置規定如下:
一、採標準滴濾法者:
(一)使用旋轉式噴水設備之濾池應為圓形,直徑不得超過四十五公尺;使用固定式噴水設備之濾池應為矩形。
(二)濾池水力負荷為每日每平方公尺一立方公尺至三立方公尺,濾料之生化需氧量容積負荷不得超過每日每立方公尺零點三公斤。
(三)濾料應採用耐久性、表面粗糙、大小均勻之材料,直徑為三十公厘至五十公厘。
(四)濾床深度為一點五公尺至二公尺,濾池底部斜度為百分之一至百分之二,集水部分斷面應考慮通風,並具集水所需斷面積二倍以上。
(五)濾池外壁為鋼筋混凝土造,噴水設備出水高度應在濾床面三十公分以上。
(六)自動配水槽之容量應能供應噴水設備五分鐘至十五分鐘之噴水量,自動配水槽之高低水位差為四十公分至七十五公分,其最小流出量不得低於最大流出量之二分之一,自動虹吸之最大流量等於進流污水之最大流量。鄰近住宅區時,濾池應加高池壁或加蓋,並設置通氣及除臭設備。
二、採高率滴濾法者:
(一)形狀依標準滴濾池規定。
(二)濾池水力負荷量依下表規定:■
(三)如有迴流時,其水力負荷依下列公式計算:▼
式中:I為水力負荷(立方公尺/平方公尺‧日);Q1為含迴流水之總散水量(立方公尺/日);A為濾池面積(平方公尺);R為迴流率;Q為計畫污水量(立方公尺/日)。
(四)濾料應採用耐久性、表面粗糙、大小均勻之材料,直徑為五十公厘至六十公厘。其生化需氧量負荷不得超過每日每立方公尺一點二公斤。
(五)濾床深度、濾池底部斜度及其他構造依標準滴濾池規定設置,二個以上濾池串連使用時,各濾池之深度為零點八公尺至一點二公尺。
三、採超高率滴濾法者:
(一)形狀依標準滴濾法規定。
(二)濾池水力負荷為每日每平方公尺十五立方公尺至八十立方公尺。
(三)濾料應採用質輕、抗蝕、耐久性且大小均勻之材料,其生化需氧量負荷為每日每立方公尺零點四八公斤至一點六公斤。
(四)濾床深度為三公尺至十二公尺,底部斜度及其他構造依標準滴濾法規定。
四、採旋轉生物盤接觸法者:
(一)反應池應為水密性構造物,其平面形狀為矩形,斷面為半圓形或梯形。
(二)反應池之容積依計畫最大日污水量之生物反應水理滯留時間,或依液量面積比決定之,圓盤總表面積與反應槽實容積之比值應在每平方公尺五公升以上;兩反應池間之堰應為水平。
(三)反應池應設二組以上,並應加蓋或設置於室內。但應注意通風。外牆頂應出地面十五公分以上。
(四)旋轉圓盤應為耐久、質輕及不腐蝕之材料,使用聚乙烯或聚氯乙烯等波浪板、平板或蜂巢型板。圓盤直徑為三公尺至四公尺,盤體間隔應為十五公厘以上。圓盤與池壁及池底之間隙為十公分至四十公分。
(五)旋轉圓盤之浸水率為面積之百分之三十五至百分之四十五。
(六)每組圓盤體分為三段至四段之多段式接觸體,其周邊轉速為每分鐘十二公尺至十八公尺。
(七)旋轉生物接觸盤五日生化需氧量負荷為每日每平方公尺五公克至七公克。接觸盤之水力負荷不得超過每日每平方公尺一百二十五公升。接觸盤第一段實際總五日生化需氧量負荷不得超過每日每平方公尺四十公克。
(八)旋轉盤主軸及附桿應為耐蝕之材質,並能承載圓盤之均勻轉動。應於盤體外加覆蓋,且應有通風設備。
五、採接觸曝氣法者:
(一)反應池應為水密性構造物,形狀為矩形或正方形,寬度為水深之一倍至二倍,水深以三公尺至五公尺為標準,邊牆頂應高出地面十五公分以上,反應池應設二組以上,每組應設二室以上,第一室與第二室之容量比為三比二。
(二)反應池之容量依計畫最大日污水量之生物反應水理滯留時間十小時,或依生化需氧量容積負荷每日每立方公尺零點三公斤決定之。
(三)曝氣所需送風量以計畫最大日污水量之八倍為標準。
(四)接觸材之形狀應為比表面積大,且有充分之空隙率之管狀、網狀、骨格體狀、平板狀或球狀等,材質應為堅固不易變質之耐酸鹼材質。
(五)反應池內接觸材之池空間填充率為百分之五十五程度,第一室採空隙率大者,第二室採空隙率小者。
(六)設在反應池前方之初步沉澱池表面積負荷率為每日每平方公尺三十五立方公尺。在其後方之最終沉澱池則為每日每平方公尺二十五立方公尺。
六、採好氧濾床法者:
(一)濾床槽應為水密性構造物,平面形狀為矩形或正方形,邊牆頂高應考慮反沖洗時之水位,槽體應設二組以上。
(二)過濾速度依計畫最大日污水量為每日二十五公尺以下,生化需氧量容積負荷依計畫最大日污水量為每日每立方公尺二公斤以下。
(三)採多孔管由濾床下方均勻散氣,其散氣量以處理每公斤生化需氧量供給零點九公斤氧至一點四公斤氧為標準。
(四)濾材之粒徑為三公厘至五公厘,應為耐久性、面粗、粒狀均勻,濾層厚度為二公尺程度。
(五)反沖洗以一日一次程度,先以空氣,再以空氣加水,最後以水反沖之三步驟完成。
第45條
﹝1﹞消毒得採用加氯消毒、紫外線消毒或臭氧消毒等方法,其消毒效果均應符合放流水標準規定。
﹝2﹞消毒設備設置規定如下:
一、採加氯消毒者:
(一)氯之注入率以維持每公升放流水中餘氯零點二毫克至一點零毫克。
﹝3﹞氯加藥率如下表:
(二)加氯消毒使用之消毒劑,其貯藏數量及方法:
1.消毒劑之貯存量為一星期平均用量。
2.貯存法採高壓鋼筒及桶裝二種,高壓鋼筒之貯存量為五十公斤及一噸裝二種;桶貯法之桶容量為十噸、十五噸、二十噸或三十噸裝液體,且應二桶以上併用,並應設置計量設備。
(三)氯消毒接觸槽之容量依計畫最大時污水量決定。槽之構造應能使污水與藥劑充分混合。
(四)氯加藥機容量宜為平常操作量之一點二倍至一點六倍,並應有備用設備,混合裝置之接觸時間,設計從消毒劑注入後經接觸到放流口為止,至少需十五分鐘。
(五)加藥機房:
1.應單獨設於靠近加藥處且較地面為高之地點,不得設於地下室或低窪地,並應為採光、密閉良好之耐火、防震構造,側壁靠地面處應設氣窗,地板以混凝土建造。
2.加藥機與牆壁或鄰機之間隔至少為六十公分。
3.加藥管應使用光滑、耐蝕及防腐材料。
4.機房內電機器具及其他金屬應加耐酸鹼處理。
(六)消毒劑貯存室:
1.氯氣及液氯貯存室應為耐火構造並設有氯氣檢漏及外洩時可自動關閉之安全裝置,貯存室應設於安全位置。貯存能力在一噸以上者應與加藥機房分開,其位置應便於高壓鋼筒搬運並易於監視,且不得設於地下室或高溫處。貯存室及加氯控制機房之空氣中含氯量不得超過每公升零點五毫克,並應設置氯氣之計量監測及警報系統裝置。
2.防毒面具、急救箱及自動淋洗等裝置應設於消毒劑貯存室外,並應至少半年內定期檢視一次,必要時修護或更新之。
(七)氯氣洩漏之中和設備:
1.使用五十公斤高壓鋼筒裝者,應設置氯氣檢漏設備及中和反應槽。
2.使用一噸裝高壓鋼筒或貯存槽者,應設置漏氣檢查器、中和反應槽及抽風機等。
3.中和裝置應設於密閉室內並能充分中和氯氣,中和室之排氣應經氯氣吸收塔,並應達空氣污染物排放標準。
(八)操作室及加藥量控制設備:
1.操作室應設於加藥室之鄰近處。
2.放流水所需加藥量應有控制設備。
3.加藥機、中和設備及漏氣檢查器之儀表盤應設於同處。
(九)次氯酸鈉溶液加藥裝置:
1.容量依計畫最大時污水量與加藥率決定。
2.加藥機採用隔膜式或噴射式,其容量依下式計算,臺數依水量與水質變化決定,至少應有一臺以上備用單元。▼
式中:VR為加藥量(公升/小時);Q為處理水量(立方公尺/小時);R為氯加藥率(毫克/公升);C為有效氯濃度(%);d為次氯酸鈉溶液之比重。
3.次氯酸鈉溶液貯存容量為七日至八日份,以耐腐蝕之材料或經表襯之鋼材或鋼筋混凝土造之貯存槽二槽以上,並設置液位計。
4.溶液貯存室應為耐震及耐火性、通風良好之構造,應設置溶液全量漏洩時防止流出之防液堤或坑渠。
二、採紫外線消毒者:
(一)紫外線燈管在波長二三三點七至二七三點七納米的條件下,至少要有百分之九十之紫外光發散率,且壽命至少要有一萬小時。
(二)照射於紫外線下之元件,應為不銹鋼、石英或鐵弗龍之材質。
三、採臭氧消毒者:
(一)臭氧產生機產生之最高臭氧濃度於一立方公尺空氣量下不得低於一五○公克。
(二)臭氧產生機至少需有一臺備用,且每一臺有一組高濃度臭氧監測器。
第46條
﹝1﹞二級處理水回收再利用處理設施設置規定如下:
一、取水場所應設於水位變動少、不易受沉澱物影響,且能確保充分取水量之處。
二、回收水再利用之處理設備應設置二套以上。
三、處理設備之選擇應依回收水之用途及其對應之水質要求,採下列機種:
(一)迴轉網篩機:濾網孔隙為五十網目(mesh)至八十網目,洗淨壓力應大於每平方公分一點五公斤。
(二)微篩機:濾網孔隙為一百網目至五百網目,洗淨壓力應大於每平方公分一公斤。
(三)快濾裝置:應選用懸浮固體去除能力高,並得以空氣及過濾水等洗淨之濾層構成。過濾速度應依進流水及過濾水之水質、懸浮固體去除能力及持續過濾時間等因素決定,並依下表規定設計:■
第47條
﹝1﹞污水處理廠內管渠設備設置規定如下:
一、導水管渠之配置:
(一)導水管渠之計畫污水量:■
(二)管渠內之平均流速為每秒零點六公尺至一公尺。
(三)導水管渠應短而直,採用水密性之管材或箱涵,並應設置溢流管及其他連接管。
二、管廊應為水密性鋼筋混凝土構造,能安定支持及容納各種管閥類,其構造及配置應能便利管閥類及機器設備之搬運、安裝及檢修,並應有良好之通風、照明及排水設備,能防止雨水浸入、水災或作業傷害等。固定於管廊結構體之直管及閥類應設置可撓性伸縮管件,以防溫度伸縮、地盤沉陷、地震及振動等損害。
三、污水處理廠之用水管分為自來水管及回收水管二類,不得混接,其計畫流量分別視廠內之飲用、冷卻、水封及清洗等用水量決定。
回索引〉〉第三章 污水下水道工程設施 第四節 污泥處理設施
第48條
﹝1﹞污泥處理及處置方法應依處理設施之規模、污泥量及污泥性狀、最終處置、用地條件、建設費、維護費、管理難易及公害對策等決定。
第49條
﹝1﹞污泥輸送設備規定如下:
一、採用長距離管路輸送污泥時,應設置污泥貯存槽,其容積不得小於最大日污泥量。污泥貯存槽應為耐腐蝕之水密性構造,二槽以上,並設置攪拌裝置、通風及除臭設備。
二、送泥管採用延性鑄鐵管等堅固耐久性管種,管徑一百五十公厘以上,管內流速為每秒一公尺至一點五公尺,配管採用直線及在水力坡降線以下敷設之,並應設置止水閥、排泥管及排氣閥等。必要時應設置二條平行管;設置一條者,應加置污泥貯存槽,並裝設壓力流量檢測計。
三、抽泥機應設置二部以上,其中一部為備用機。其裝設位置應低於污泥井水面之背壓式抽水,採用單軸螺栓式或往復活塞式或其他適用於抽送污泥之抽泥機。
第50條
﹝1﹞污泥濃縮設施設置規定如下:
一、採污泥重力濃縮槽方式者:
(一)槽數應為二槽以上,形狀為圓形或矩形之水密性構造,必要時並加覆蓋。有效水深為三點五公尺至四公尺。
(二)總容量以計畫污泥量之十二小時量為準,其固體物負荷為每日每平方公尺六十公斤至每日每平方公尺九十公斤,水面積負荷為初沉池污泥每日每平方公尺六立方公尺至每日每平方公尺九立方公尺,初沉池終沉池混合污泥為每日每平方公尺四立方公尺至每日每平方公尺六立方公尺,終沉池污泥為每日每平方公尺三立方公尺至每日每平方公尺五立方公尺;其濃縮污泥含水率為百分之九十七至百分之九十八,並得以放流水充用為槽內之稀釋水。
(三)附有刮泥機之槽底坡度宜為百分之五以上;未設刮泥機者,槽底為漏斗狀,對水平之傾斜角為六十度以上。
(四)設置污泥進流管、污泥排出管及上澄液排出管,必要時增設溢流堰及防臭、除臭設備。
(五)設置上澄液迴流至污水處理單元之迴流管渠及浮渣去除等裝置。
二、採污泥浮除濃縮槽方式者:
(一)槽數為二槽以上,以圓形或矩形之水密性構造,有效水深為四公尺至五公尺,停留時間二小時以上。氣固比為每公斤零點零零六公斤至零點零四公斤空氣懸浮污泥。固形物負荷為每日每平方公尺一百公斤至一百二十公斤,濃縮污泥含水率為百分之九十六至百分之九十七。
(二)槽內應設浮渣刮泥器。
(三)加壓抽水機之形式,應依空氣導入之位置而定,其輸送壓力為每平方公分二公斤至每平方公分四公斤,抽水量依加壓方式、計畫污泥量、所需壓力及固氣比等因素決定。
(四)空氣溶解槽之構造應依壓力容器構造設計,並具耐蝕性及設置整流壁。其容量應使加壓水有二分鐘以上之停留時間。
(五)其他附屬設備依前款污泥重力濃縮槽規定。
三、採污泥離心濃縮機方式者:
(一)濃縮機應設二組以上,由具轉速差之旋轉本體與螺旋軸體組成,耐磨、耐久、堅硬之金屬構成,離心效果為重力加速度之一千倍至二千倍,使用於不易以重力濃縮之終沉池剩餘污泥,濃縮污泥含水率為百分之九十六程度。
(二)污泥供給抽泥機應使用具備定量性之抽泥機,每組濃縮機各自設置一臺。
(三)應設置濃縮污泥含水率控制裝置及必要之加藥設備,並設防音蓋消除噪音。
第51條
﹝1﹞污泥消化設施設置規定如下:
一、厭氧性加溫式圓筒形污泥消化槽:
(一)槽數為二槽以上,槽體為水密性、不透氣、耐壓及耐腐蝕之圓筒形構造,內徑為十公尺至三十公尺,池之有效水深約為內徑之半,至少在四公尺以上,底部斜度大於百分之三十,須設置固定蓋或浮動昇降蓋,並具適當之防止熱量散發功能,槽內溫度高溫消化應保持在攝氏五十五度左右,中溫消化則為三十五度左右。
(二)攪拌方式以消化瓦斯注入、機械攪拌或泵送循環等。
(三)槽之容量按污泥之混合液揮發性懸浮固體濃度、消化溫度或日數、消化程度及操作方法等因素決定。單段式消化之消化日數高溫消化以十日,中溫消化以三十日為準;二段式消化時,消化日數與單段式相同,其第一段與第二段消化日數比為一比一至二比一。
(四)加熱鍋爐設置應依有關之法令規定;加溫所需之熱量,依進流污泥加溫所需之熱量及槽體與加溫管之熱量總損失計算;加熱方式採蒸氣注入或槽外熱交換,鍋爐應能自動控制燃燒、溫度及給水等,配管類應以絕熱材料包覆,並設有蒸氣袪水裝置,蒸氣鍋爐用水應有硬水軟化裝置。
(五)污泥進流管裝設位置應能使生污泥完全擴散於槽內,排出管應設於槽底中心處,各污泥輸送管之內徑為十五公分以上,並應設置逆止空氣閥或緊急遮斷閥等裝置。
(六)消化槽上澄液應能自三個以上之不同深度抽出,並迴流至污水處理單元再處理,消化槽內應設溢流管。
(七)消化瓦斯之收集及貯存槽之設置應依有關法令規定,消化瓦斯之收集方式應根據消化狀態、生污泥進流、消化污泥與上澄液之抽出、瓦斯產生量及瓦斯壓力之變化決定。消化槽頂應設集氣塔,塔內應考慮防蝕並裝設瓦斯安全閥,瓦斯收集管內徑為一百公厘以上。瓦斯貯存槽之容量為半日分之平均日瓦斯產生量為準,並應考慮安全設施。
(八)操作室應設置於污泥消化槽鄰近處,具耐火性,並有防火及瓦斯洩漏檢測警報之安全裝置,室內配置應便於機器搬運及設備檢修之構造,並應有良好之隔音、換氣、照明及排水等設備。
(九)消化槽應設置浮渣防止及硬塊破壞裝置、人孔採樣裝置、溫度測定裝置、液位計、監視窗及避雷器等附屬設備。
(一○)與污泥或脫硫前之消化瓦斯接觸之活塞、軸及葉片等重要部分應使用不銹鋼等耐蝕性材料,鑄鐵管之管閥接頭應嵌入合成橡皮墊片或其他具耐蝕性填料,塗料使用防蝕性之合成樹脂。
二、厭氧性加溫式蛋形污泥消化槽:
(一)槽數為二槽以上,最大水平內徑為二十公尺至二十六公尺,槽深為最大水平內徑之一點二倍至一點六倍,槽內底部斜度為四十五度角,槽體為水密性、不透氣、耐壓及耐腐蝕之鋼鐵、鋼筋混凝土或二者併用之構造,並具適當之防止熱量散發功能及攪拌裝置,槽內溫度在高溫消化保持約攝氏五十五度,在中溫消化為三十五度。
(二)槽之容量按污泥之固體物質、濃度、槽內溫度或消化日數、消化程度及操作方法等因素決定,其揮發性固體負荷為每日每立方公尺一點六公斤至二點八公斤,高溫消化之消化日數為十日,中溫消化為二十六日。
(三)攪拌方式採導氣式消化瓦斯注入、機械通管攪拌、泵送循環或二者以上併用。
(四)加熱鍋爐之設置應依有關法令規定,加溫所需之熱量計算、加溫鍋爐及其配管類等依前款第四目規定。
(五)槽體上部之側應設置溢流控制槽。
(六)污泥進流管裝設位置應能使生污泥完全擴散於槽內,槽底之污泥排出管應連通溢流控制槽,並得兼作各消化槽間之污泥輸送管,管之內徑及其安全裝置依前款第五目規定。
(七)消化瓦斯收集系統之設置、操作室之設置、蛋形消化槽之附屬設備及各重要部份之材料與防蝕處理等依前款第七目至第十目規定。
三、厭氧性加溫式龜甲形污泥消化槽:龜甲形消化槽之內徑與側深(有效水深)之比為一比一程度;其他設置依前款規定。
四、厭氧性無加溫式污泥消化槽:
(一)厭氧性無加溫式污泥消化槽應為水密性構造。應設置攪拌裝置或其投入前生污泥與種污泥之混合裝置,及裝設浮渣去除及硬塊破壞裝置。
(二)消化日數視槽數及氣候而定,為六十日至九十日。
(三)防蝕處理依第一款第十目規定。
五、好氧性污泥消化槽:
(一)槽數為二槽以上,形狀為矩形或圓形,具水密性構造,矩形槽之寬應為水深之一倍至二倍,有效水深三點五公尺至五公尺,出水高應為五十公分。
(二)槽之容量應依攝氏四百度日程度之水溫所對應之消化日數及計畫污泥量決定。
(三)利用散氣式曝氣或機械攪拌式曝氣設備之配置,曝氣所需空氣量,依空氣之槽容積負荷為每日每立方公尺槽容積二十五立方公尺空氣至四十立方公尺空氣計算。污泥之進流及排出方法等依第四十三條曝氣池規定。
(四)消化槽之進流端應設整流設備,槽之一側應設置消泡設備。
第52條
﹝1﹞污泥調理設備設置規定如下:
一、污泥淘洗設備:
(一)污泥淘洗設備得用消化污泥量之三倍至五倍清水或二級處理水量淘洗之,使污泥之鹼度降低至每公升四百毫克至六百毫克。
(二)淘洗槽之形狀為圓形或矩形,有效水深為三點五公尺至四點五公尺。槽之固體物負荷為每日每平方公尺六十公斤至九十公斤。
(三)採用二段逆向淘洗時,第二段淘洗槽之水位應高於第一段淘洗槽之水位,使淘洗水量可藉重力流動之水位。
(四)淘洗槽應設攪拌機及浮渣排除裝置,淘洗廢水應與生污水一併處理。
二、藥品添加設備:
(一)無機凝聚劑加藥設備藥品溶解槽內應有防蝕設施,並設置攪拌機。加藥機應為定量藥液抽水機,並可正確計量。藥品貯存庫依計畫添加藥量,應為七日以上之貯存量。
(二)高分子聚合物加藥設備添加之有機高分子聚合物,添加量為固體量百分之零點五至百分之一點五。藥品貯存庫依計畫添加藥量,應為七日以上之貯存量。
第53條
﹝1﹞污泥脫水設備設置規定如下:
一、採消化污泥乾燥床方式者:
(一)乾燥床為混凝土或磚砌構造,形狀為矩形,其投入污泥面距床頂高度為十五公分。
(二)消化污泥乾燥床之床數以污泥乾燥所需日數考量。乾燥日數依各地氣候及污泥之性質決定。
(三)乾燥床最上層為二十公分至三十公分之零點七至二點零公厘粒徑水平粗砂層,其下為二十公分至三十公分之濾石層,最底層以混凝土為底。濾石層下應有適當之斜度,其底部每隔二公尺至六公尺舖設內徑一百五十公厘至二百公厘之有孔過濾液收集設施。
(四)每一污泥進流口所承受面積不得大於二百平方公尺,長度不得超過二十公尺,進流污泥厚度為十公分至二十公分。
(五)應設過濾液之排出裝置,過濾液應迴流至初步沉澱池。
二、採真空過濾設備方式者:
(一)污泥調理設備包括污泥淘洗裝置及無機凝聚劑加藥設備。
(二)真空過濾機之設置臺數為二臺以上,其容量以過濾面積表示,其計算式如下:▼
式中:A為過濾面積(平方公尺);Q為污泥量(立方公尺/日);V為過濾速度(公斤/平方公尺/小時);W為污泥之含水率(%);t為每日運轉時數(小時/日)。
(三)真空過濾機圓筒之迴轉數,多室型為每分鐘十二分之一轉至三分之一轉;單室型以每分鐘二分之一轉至三轉。真空度為三百公厘水銀柱高至六百公厘水銀柱高。
(四)濾布採用不易堵塞之耐久性材質,可固定張著於過濾圓筒表面或隨圓筒旋轉之環帶。
(五)污泥槽內應設置攪拌機及濾布清洗用之噴水裝置。
(六)真空抽氣機之排氣量以每平方公尺之過濾面積計算,多室型為每分鐘每平方公尺零點五立方公尺至一立方公尺。單室型最大真空度為六百公厘水銀柱高。
(七)電動機應設置二臺以上。
(八)空氣壓縮機設置臺數為二臺以上,多室型過濾機之排氣量為過濾面積每分鐘每平方公尺零點一立方公尺左右,排出壓力以絕對壓力每平方公分二公斤至三公斤估算。
(九)附屬設備應有污泥貯槽、濾液槽、濾布清洗槽、濾液抽水機、分離槽及空氣壓縮槽等。
三、採加壓過濾設備方式者:
(一)加壓過濾設備之污泥調理設備包括污泥淘洗裝置及無機凝聚劑加藥設備。
(二)加壓過濾機應設置二臺以上,其容量以過濾面積表示,計算式依前款第二目規定。
(三)加壓過濾機之送泥壓力為每平方公分三公斤至五公斤,其過濾之壓搾壓力為每平方公分十五公斤程度。濾布應採用不易堵塞之耐久性材質。
(四)進流污泥抽泥機為迴轉式、往復唧筒式、瓣膜式或螺旋推進式。每臺過濾機皆應搭配設置一臺進流污泥抽泥機,並有備用機。
(五)空氣壓縮機所需空氣量按濾室容量為每分鐘每立方公尺二立方公尺,排出壓力同過濾壓力或高出每平方公分一公斤至三公斤。
(六)附屬設備應設有污泥槽、油壓座、空氣壓縮槽、濾布洗淨及防臭等附屬設備。
四、採帶狀過濾設備方式者:
(一)帶狀過濾機台數應為二臺以上。其容量以濾布寬度表示,其計算式如下:▼
式中:B為有效濾布寬度(公尺);W為活性污泥含水率(%);Q為污泥量(立方公尺/日);V為過濾速度(公斤/公尺/小時);t為每日運轉時數(小時/日)。
(二)濾布最大寬度為三公尺,適當轉速為每分鐘一公尺至每分鐘二公尺。
(三)藥品貯存庫依前條第二款第二目規定。
(四)帶狀過濾機之附屬設備應設濾布清洗裝置、防臭裝置、適合於機種之油壓裝置及空氣供給裝置等。
五、採離心脫水機設備方式者:
(一)設置臺數為二臺以上。其處理能力以單位時間處理量表示之,以每小時三十五立方公尺至五十立方公尺之供泥量程度,污泥濃度百分之五以下以定額流量處理之,超過百分之五或低於百分之三以下時應調整供泥量。
(二)離心力效果應為重力加速度一千五百倍至三千倍,並得依污泥種類調整。
(三)藥品貯存庫依前條第二款第二目規定。
(四)附屬設備應設污泥供給抽泥機、凝聚劑供給抽水機及旋轉差速裝置等。
回索引〉〉第四章 儀表控制設備
第54條
﹝1﹞處理設施之控制設備規定如下:
一、處理過程之控制,應考量處理過程之特殊性、控制方式之種類與信賴度及維護管理難易等因素,得選用下列之單項或組合:
(一)單獨控制。
(二)程序控制。
(三)連鎖控制。
二、處理設施之操作方式,依設施規模、用地條件、設置內容、作業型態及作業環境等而定。為達到順利運轉及合理維護管理,得選用下列之單項或組合:
(一)現場手動控制方式。
(二)遠端控制方式。
(三)自動控制方式。
三、控制機器之選定,應考量控制目的、反應特性、使用範圍、操作能力、可信度及管理難易等因素。
--114年11月4日修正前條文--
﹝1﹞處理設施之控制設備規定如下:
一、處理過程之控制在處理設施中應考量處理過程之特殊性及處理過程之種類、控制之信賴度、維護管理難易等因素,其回路控制之種類得選用下列之單項或組合:
(一)單獨控制。
(二)依序逐次控制。
(三)微調校正控制。
二、處理設施之操作方式依設施規模、用地條件配置、設置內容之程度、作業型態及作業環境等而定。為達到順利運轉及合理維護管理,得選用下列之單項或組合:
(一)現場手動方式。
(二)個體控制方式。
(三)遙控控制方式。
(四)自動控制方式。
三、控制機器之選定,應考量控制目的、反應特性、使用範圍、操作能力、可信度及管理難易等因素。
第55條
﹝1﹞儀表控制化之程度應視設施之規模大小、日後維修之難易、操作人員之技術程度及社會環境等因素決定。
第56條
﹝1﹞儀表配備規定如下:
一、儀表配備用儀器及其計測、控制信號種類,應依其目的選擇。
二、傳訊器應適合計測目的及裝設地點之環境條件,其校正依實測結果而定。
三、收訊器及控制器之種類及裝設方式,應適合其使用目的,現場設備之儀表盤應適合其管理方式,並應與主控室數據監控系統及主管機關要求之其他遠端系統相配合。
四、操作器應適合其操作目的,自動控制系統之操作器,視需要同時具有遠端控制及現場操作裝置;控制閥之型式及口徑,應選擇最適合控制目的;操作抽水機及其他設備所組合之控制設備,應適合其操作目的且需操作安全。
五、訊號之傳輸應為有線傳輸或無線網路訊號。
六、儀表控制設備之電源,應配有不斷電系統。
--114年11月4日修正前條文--
﹝1﹞儀表配備規定如下:
一、儀表配備用儀器及其計測、控制信號種類,應依其目的選擇。
二、傳訊器應適合計測目的及裝設地點之環境條件,其校正依實測行之。
三、收訊器及控制器之種類及裝設方式,應適合其使用目的,儀表盤應適合其管理方式,並應與主控室相配合。
四、操作器應適合其操作目的,自動控制系統之操作器,視需要同時具有遙控及現場操作裝置,控制閥之型式及口徑應為最適合控制目的者,操作抽水機及其他設備所組合之控制設備應適合其操作目的且需操作安全。
五、訊號之傳輸應為有線傳輸,並應防止電磁感應之障礙。但經有關機關認可得採用無線電傳輸。長距離之傳輸線,應有備用線路,構造物內之配線及配管應在構造物設計前先行計畫之。訊號轉換器之型式及精確度,應選擇適合其使用目的,且不損壞系統機能者。
六、儀表控制設備之電源,應為電壓、電流、週率均穩定者,儀表控制設備使用之空氣源、高壓水源及高壓油源之設備,應符合儀表設備之要求,並具充分之容量。對儀表用動力源故障或停電所可能引起之錯誤動作,應有妥善之對策。
第57條
﹝1﹞儀表設備配置規定如下:
一、應具管理上所必要之流量、水位、酸鹼值、溶氧量、溫度、壓力、餘氯量等數據及考慮操作人員安全,並應設置一氧化碳、甲烷、硫化氫等危險氣體之測定及警告設備,應予以適當之監控。
二、加藥設備之儀表控制設備,應能達最佳之加藥效果,其主要部分應具充分之耐腐蝕性。其操作過程應與未儀表化之操作過程密切配合。
三、抽水設備之儀表控制設備,應符合抽水機運轉之目的及經濟、安全、可靠之操作原則。
四、電力設備之儀表控制應考量以相互配合並具有高度之安全性,且能使能源之管理經濟而合理。
回索引〉〉第五章 附 則
第58條
﹝1﹞本標準自發布日施行。
回頁首〉〉
【編註】本超連結法規檔提供學習與參考為原則;如需正式引用,請以政府公告版為準。
如有發現待更正部份及您所需本站未收編之法規,敬請告知,謝謝!